1. The Mathematical Reality of Revolving Debt and Compound Interest
The primary barrier to debt recovery is the power of compound interest, which causes credit card balances to grow exponentially even when no new charges are made.
Most credit card issuers utilize daily compounding, a process where interest is calculated on the principal plus the previous day's interest. In 2026, with many retail and subprime cards exceeding 25% APR, a $10,000 balance can become a permanent financial burden if not intercepted by legal means.
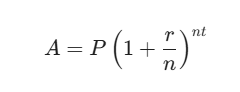
The growth of a credit card balance is defined by the following compound interest formula:

- $A$ = The final amount including interest.
- $P$ = The principal amount (e.g., $10,000).
- $r$ = The annual interest rate (e.g., 0.25).
- $n$ = Number of times interest is compounded per year (e.g., 365).
- $t$ = The time in years.
Without a decisive legal intervention to freeze this interest or discharge the principal, the debtor remains in a state of permanent insolvency.
2. Strategic Defense against Collection Lawsuits and Judgments
When a credit card issuer files a collection lawsuit, the objective is to secure a default judgment that allows for the immediate garnishment of wages and the freezing of bank accounts.
Many creditors file these lawsuits assuming the debtor will not respond. However, a strategic legal defense involves challenging the "standing" of the creditor particularly debt buyers who may lack the necessary chain of custody documentation to prove they own the debt.
- Challenging Document Admissibility: We demand the original credit agreement and a full accounting of all interest and late fees to ensure the balance is legally accurate.
- Terminating Wage Garnishments: In many states, a judgment allows a creditor to seize up to 25% of your disposable income. We utilize specific state exemptions to protect your wages and maintain your household's financial stability.
- Preventing Bank Levies: A bank levy can occur without prior warning once a judgment is entered. We move to vacate default judgments and protect exempt funds, such as Social Security or disability payments, from illegal seizure.
3. Fdcpa Violations: Turning the Tables on Predatory Collectors
Federal law under the Fair Debt Collection Practices Act (FDCPA) provides powerful remedies for debtors who are subjected to abusive or deceptive collection tactics.
In 2026, collection agencies often utilize automated dialing systems and invasive digital tracking that may cross the line into illegal harassment. If a collector violates the FDCPA, the debtor may be entitled to statutory damages of up to $1,000, plus actual damages and attorney fees.
Common violations that trigger legal liability for collectors include:
- Unauthorized Contact: Calling before 8:00 AM or after 9:00 PM local time.
- Third-Party Disclosure: Contacting your employer, neighbors, or family members regarding the debt.
- Deceptive Threats: Claiming that you will be arrested or that they will seize property without a court order.
- Continuing Contact: Refusing to stop communication after receiving a formal "Cease and Desist" notice from an attorney.
4. Federal Bankruptcy: the Absolute Exit Strategy
When credit card debt becomes mathematically impossible to resolve through negotiation, federal bankruptcy serves as the ultimate "reset button," providing a total discharge of qualifying unsecured debt.
The filing of a bankruptcy petition triggers the Automatic Stay, a federal injunction that immediately terminates all collection phone calls, lawsuits, and garnishments.
Chapter 7: Total Liquidation of Credit Card Debt
For individuals who pass the "Means Test," Chapter 7 bankruptcy can wipe out credit card debt in as little as four to six months. Most medical and credit card debt filers are able to protect their primary residence and vehicle through specific state or federal exemptions.
Chapter 13: Structured Debt Reorganization
For high-income earners or those with significant non-exempt assets, Chapter 13 allows the debt to be restructured into a three to five-year repayment plan. You pay what you can afford, and the remaining credit card balance is discharged at the end of the term, often resulting in paying only a small fraction of the original total.
5. Why Sjkp Llp Is the Authority in Credit Card Debt Litigation
Strategic debt recovery requires an elite legal partner who understands the intersection of consumer litigation and the internal operations of the credit card industry.
At SJKP LLP, we recognize that credit card debt is often a systemic failure of the financial system rather than a personal failure of the consumer. We move with clinical speed to silence collectors, audit billing records for violations, and weaponize federal law to protect your future.
We are not a "settlement" company that merely asks for favors; we are a litigation firm that demands compliance. If a creditor or collector has violated your rights, we seek the maximum statutory relief to ensure you emerge from your debt crisis with your dignity and your credit intact.
21 Jan, 2026









